Cát lún, còn gọi là cát sôi, là tình trạng các hạt đất không kết dính nổi lên, như sỏi và cát mịn, do dòng chảy thấm dọc lên. Khi xảy ra hiện tượng cát sôi, khả năng chịu lực và độ bền cắt của đất không kết dính giảm, các hạt đất bị khuấy trộn mạnh.
Cát lún không phải là một loại đất, mà là tình trạng dòng chảy xảy ra trong đất không có kết dính. Trên thực tế, tình trạng cát sôi có thể xảy ra khi thực hiện đào đất dưới mức nước và nước được bơm ra khỏi hố đào, biến thành một khu vực không có nước.
Tình trạng cát lún xảy ra như thế nào?
Tình trạng cát lún xảy ra khi áp suất rò rỉ, tác động theo hướng đi lên, lớn hơn áp lực hướng xuống do trọng lượng của đất ngập nước và các hạt cát bị tách rời. Kết quả là đất không có khả năng hỗ trợ tải.
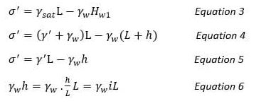
Khu vực đất có cát lún sẽ mất khả năng chịu cắt và chịu lực. Độ bền cắt của đất không kết dính phụ thuộc vào ứng suất thực tế. Độ bền cắt được đưa ra theo công thức:

Ứng suất thực tế được thể hiện bằng mô hình dưới đây:

Các thuật ngữ của phương trình 2 được giải thích và minh họa trong hình 2. Các thành phần của phương trình 2 dẫn đến các biểu thức sau:

Vì vậy, phương trình 5 có thể được thể hiện như sau:

Thay thế giá trị trọng lượng đơn vị ngập nước theo tỷ lệ khoảng trống:

Lấy G = 2,67 và e = 0,67, kết quả của phương trình 9 bằng 1.
Do đó, ứng suất thực tế bằng 0 đối với đất có các giá trị G và e như trên, khi độ dốc thủy lực “i” là thống nhất, tức là tạo ra dòng chảy bằng với chiều dài của mẫu thử.
Nếu độ dốc vượt quá giới hạn, đất nổi lên trên và bề mặt đất giống như bị sôi. Tình trạng cát lún hay còn gọi là tình trạng sôi. Trong giai đoạn này xảy ra tình trạng các hạt xáo trộn dữ dội. Tốc độ di chuyển đột ngột tăng lên do gia tăng hệ số thấm. Nếu đặt lên bề mặt đất một vật thể, nó sẽ bị chìm xuống. Lúc này, đất hoạt động như một chất lỏng không có lực cắt.

Ảnh: Internet
Cát lún không thể đỡ trọng lượng của người hoặc động vật, nó hoạt động như một chất lỏng có trọng lượng đơn vị gấp đôi nước. Khi bị rơi vào khu vực cát lún, khoảng một phần ba cơ thể người có thể nổi lên. Tuy nhiên, cát lún rất trơn và chuyển động liên tục, để thoát ra, một người cần có nỗ lực rất lớn và rất khỏe. Một người có thể chết vì nghẹt thở nếu quá mệt và để đầu bị vùi vào cát lún trong hoảng loạn.

Ảnh: Internet
Nếu chất thêm tải trên nền đất không kết dính lúc này sẽ làm tình trạng cát lún thêm nghiêm trọng.
Cát lún tại công trường xây dựng
Có một số vị trí xây dựng dễ bị ảnh hưởng bởi cát lún:
- Khai thác vật liệu dạng hạt phía sau đê quai dọc theo các con sông.
- Bất kỳ khu vực nào có áp tồn tại (giếng phun), tức là nơi đầu nước lớn hơn áp lực nước tĩnh thông thường.
- Sau kè sông bảo vệ lũ lụt.
Biện pháp phòng tránh
Có thể ngăn chặn cát lún bằng cách hạ thấp mực nước tại vị trí trước khi đào hoặc một cách khác là tăng chiều dài của dòng chảy. Tình trạng sôi cũng xảy ra phổ biến khi một lớp nền cát thấm nằm dưới lớp đất sét trong điều kiện áp lực nước tự phun.
Nguyễn Minh Hiếu dịch
Theo theconstructor.org, ảnh: Internet
